フリップフロップは1bit情報を保持できる論理回路(AND、OR、NOTの組み合わせ)で、順序回路に必須の要素です。単純なラッチからCLKエッジで値を保持するDフリップフロップまでの動きを確認します。
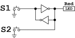
演習1 ラッチ
右回路を作成し、スイッチによって状態が切り替わり状態が保持されることを確認しなさい。
解説
NOT演算を2回行うと元に戻ります。2重否定の出力を入力側にフィードバックすると初期状態のレベルを保持する回路となります。スイッチによってHレベルになっている箇所を強制的にLレベルに落とすと状態が切り替わってその状態を維持します。1bitの状態を保持し、状態の切替が可能なのでこれは1bitメモリに他なりません。
※各ブロックの出力段には抵抗を入れているためHレベル出力をスイッチで強制的にLレベルに落としても回路は壊れませんが、状態切替時にある程度の電流が一瞬流れるのであまり良い回路とは言えません。
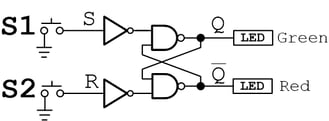
演習2 SRラッチ(SRフリップフロップ)
NANDブロックを使ってRSラッチ回路を組み上げて、特性表を作成しなさい。
解説
SRラッチのSはセット,Rはリセットの意味です。SやRの変換に即座にQが反応します。この回路にはS=R=1条件が禁止となっている点に問題があります。
SRフリップフロップの特性表
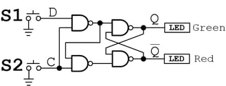
演習3 Dラッチ
Dラッチを作成し、特性表を作成しなさい。
解説
DラッチはCが1の場合は入力がそのまま出力に流れ、Cが0の場合には直前のDの値が保持されます。SRフリップフロップの改良型です。CLKのエッジタイミングの入力をラッチするにはCのパルス幅を細くする必要があります。
Dラッチの特性表
演習4 Dフリップフロップ
Dラッチを2つ使ってDフリップフロップを作成し、その動作を確認しなさい。
解説
Dラッチを2つ連結し、入力Cには極性の異なったCLK信号をそれぞれ入力します。CLKが0時点でマスタ出力からはDが出力されますが、CLKが1に変わった時点でマスタ出力は直前の値を保持します。スレーブ側は、CLKが1の間はマスタの保持値をそのまま出力し、CLKが0に変わると直前の値を保持します。これでCLKの立上がりエッジタイミングの入力Dがスレーブから出力されます。Cube-DのFFブロックはDフリップフロップ相当の動作になります。
2台のCube-Dで動作を確認します。演習3で作成した回路のうち、スレーブ担当の回路のC入力部分のT接続ブロックをNOTに差し替えます。ジャンパ線で次の3本を接続します。
特に3番目の2枚のボードのGNDレベルを共通にするジャンパ線は重要です。
演習5 リングカウンタ
8bitのリングカウンタを作成しなさい
解説
FFを単純に8つリング状に接続したもので、組合せ回路を含まない特殊な順序回路。線形帰還シフトレジスタ(Linear feedback shift register)の最も単純な構成です。初期値が回り続けます。
■2022/03/03-04 第20回たま工業交流展に出展予定でしたが、展示会自体がコロナのため中止となりました。
■2022/02/01 本店を神奈川県川崎市に移転しました。
■2021/07/19 「プログラミング学習装置」に関する特許が登録されました
■2021/01/20- バーチャル産業交流展に出展しました(1/20-2/19)。
■2020/12/26,27 Cube-D PGを使った「短期プログラミング教室」を開催しました。
■2020/08/25 ネットショップ用ページを追加しました。
■2020/08/11 クラウドファンディングの支援者様にCube-D PGを発送しました。
■2020/08/08 Cube-D PGの全マニュアル(組立、チュートリアル、詳細)を再度更新しました。
■2020/07/21 Cube-D PGの全マニュアル(組立、チュートリアル、詳細)を更新しました。
■2020/07/08 Cube-D PGのロボットカー組立マニュアルがダウンロードできるようになりました。
■2020/06/30 Cube-D PGのチュートリアルマニュアルがダウンロードできるようになりました。
■2020/06/15 「東京技術商店」にてCube-D PGの記事が掲載されました。
■2020/06/11 クラウドファンディング(未来ショッピング)で「Cube-D PG」を公開しました。
■2020/03/28 「プログラミング学習装置」の試作機が完成しました。
■2020/03/04 「プログラミング学習装置」に関する特許を出願しました。
■2019/11/13-15 産業交流展2019に出展しました。
■2019/10/09 ブロックシールPDFがダウンロードできるようになりました。
■2019/09/12 2ブロックだけで作る回路例20を追加しました。
■2019/09/07 Cube-Dを使った論理回路実験室を追加しました。
■2019/09/03 楽天、Yahoo、ヤマダモールでCube-Dとデジタルパペットの販売を開始しました。
■2019/08/09 未来ショッピング公式ストアでCube-Dの販売を開始しました。
■2019/07/19 Makuakeストアからデジタルパペットが購入できるようになりました。
■2019/06/14 デジタルパペットのCFは目標金額の128%で終了しました。ペーパークラフトを公開しました。
■2019/05/22 デジタルパペットの取扱説明書をアップロードしました。
■2019/04/22 Makuake(クラウドファンディング)で「デジタルパペット」を公開しました。
■2019/02/03 アカデミックセット25の一般販売を開始しました(Amazon)。
■2019/01/14 アカデミック版対応操作マニュアル。回路集100をアップロードしました。
■2019/01/14 Cube-D事業を株式会社デジタルキューブに移管しました。
株式会社デジタルキューブ
〒210-0007 神奈川県川崎市川崎区駅前本町11番地2 川崎フロンティアビル4F
電話/FAX 044-813-4547 E-mail info@cube-d.co.jp
